网站首页  词典首页


请输入您要查询的字词:

 

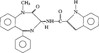
字词 地伐西匹
类别 中英文字词句释义及详细解析
释义 地伐西匹

C25H20N4O2=408.46

CAS-103420-77-5

(S)-N-(2,3-二氢-1-甲基-2-氧代-5-苯基-1H-1,2-苯并二氮杂-3-基)1H-吲哚-2-羧酰胺。

(S)-N-(2,3-Dihydro-1-methyl-2-oxo-5-phenyl-1H1,4-benzodiazepin-3-yl)1H-indole-2-carboxamide.

缩胆囊素拮抗药。

地伐西呱。

Devazepide,MK-329,L-364,718.

USAN.

随便看

 

离鸟网收录3541549条中英文词条,其功能与新华字典、现代汉语词典、牛津高阶英汉词典等各类中英文词典类似,基本涵盖了全部常用中英文字词句的读音、释义及用法,是语言学习和写作的有利工具。

 

Copyright © 2004-2024 vtrois.com All Rights Reserved
更新时间:2026/5/25 12:49:42