网站首页  词典首页


请输入您要查询的字词:

 

字词 地前列酯
类别 中英文字词句释义及详细解析
释义 地前列酯

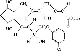
C23H29ClO6=436.93

CAS-62524-99-6

(2E,5Z)-7-[(1R,2R,3R,5S)-2-[(E)-(3R)-4-(间-氯苯氧)-3-羟-1-丁烯基]-3,5-二羟环戊基]-2,5-庚二烯酸甲酯。

Methyl(2E,5Z)-7-[(1R,2R,3R,5S)-2-[(E)-(3R)-4-(m-chlorophenoxy)-3-hydroxy-1-butenyl]-3,5-dihydroxycyclopentyl]-2,5-heptadienoate.

前列腺素类药。

Delprostenate.

INN,BAN,USAN.

随便看

 

离鸟网收录3541549条中英文词条,其功能与新华字典、现代汉语词典、牛津高阶英汉词典等各类中英文词典类似,基本涵盖了全部常用中英文字词句的读音、释义及用法,是语言学习和写作的有利工具。

 

Copyright © 2004-2024 vtrois.com All Rights Reserved
更新时间:2026/4/8 7:16:32