网站首页  词典首页


请输入您要查询的字词:

 

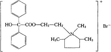
字词 地吡溴铵
类别 中英文字词句释义及详细解析
释义 地吡溴铵

C23H30BrNO3=448.40

CAS-51047-24-6

溴化1-(2-羟乙基)-1,2,5-三甲基吡咯烷鎓二苯乙醇酸酯。

1-(2-Hydroxyethyl)-1,2,5-trimethylpyrrolidinium bromide benilate.

溴化1-(2-[羟二苯乙酰]氧]乙基]-1,2,5-三甲基吡咯烷鎓。

1-[2-[Hydroxydiphenylacetyl)oxy]ethyl]-1,2,5-trimethylpyrrolidinum bromide.

解痉药,抗肿瘤药,抗胆碱药。

的美鲁溴铵。

Dimetipirium Bromide.

INN,USAN.

随便看

 

离鸟网收录3541549条中英文词条,其功能与新华字典、现代汉语词典、牛津高阶英汉词典等各类中英文词典类似,基本涵盖了全部常用中英文字词句的读音、释义及用法,是语言学习和写作的有利工具。

 

Copyright © 2004-2024 vtrois.com All Rights Reserved
更新时间:2026/4/6 22:20:23