网站首页  词典首页


请输入您要查询的字词:

 

字词 地昔卡因
类别 中英文字词句释义及详细解析
释义 地昔卡因

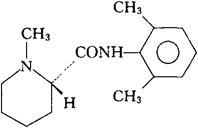
C15H22N2O=246.35

CAS-24358-84-7

(S)-N-(2,6-二甲苯基)-1-甲基-2-哌啶羧酰胺。

2-Piperidinecarboxamide,N-(2,6-dimethylphenyl)-1-methyl-,(S)-.

(+)-1-甲基-2′,6′-甲哌啶酰二甲苯胺。

(+)-1-Methyl-2′,6′-pipecoloxylidide.

局部麻醉药。

Dexivacaine.

INN,USAN.

随便看

 

离鸟网收录3541549条中英文词条,其功能与新华字典、现代汉语词典、牛津高阶英汉词典等各类中英文词典类似,基本涵盖了全部常用中英文字词句的读音、释义及用法,是语言学习和写作的有利工具。

 

Copyright © 2004-2024 vtrois.com All Rights Reserved
更新时间:2026/5/25 9:42:43