网站首页  词典首页


请输入您要查询的字词:

 

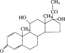
字词 地泼罗酮
类别 中英文字词句释义及详细解析
释义 地泼罗酮

C21H28O4=344.45

CAS-20423-99-8

11β,17-二羟孕甾-1,4-二烯-3,20-酮。

11β,17-Dihydroxypregna-1,4-diene-3,20-dione.

肾上腺皮质激素类药。

地普罗酮。

[)eprodone.

INN,BAN,USAN.

随便看

 

离鸟网收录3541549条中英文词条,其功能与新华字典、现代汉语词典、牛津高阶英汉词典等各类中英文词典类似,基本涵盖了全部常用中英文字词句的读音、释义及用法,是语言学习和写作的有利工具。

 

Copyright © 2004-2024 vtrois.com All Rights Reserved
更新时间:2026/4/7 1:07:24