网站首页  词典首页


请输入您要查询的字词:

 

字词 地特氯铵
类别 中英文字词句释义及详细解析
释义 地特氯铵

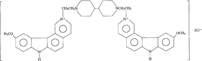
C46H50Cl2N6O2=789.85

CAS-74517-42-3

2,2′-([4,4′-联哌啶]-1,1′-二基二乙烯)双[10-甲氧-7H-吡啶并[4,3-c]咔唑鎓]二氯化物。

2,2′-([4,4′-Bipiperidine]-1,1′-diyldiethylene)bis[10-methoxy-7H-pyrido[4,3-c]carlazolium]dichloride.

抗肿瘤药。

Ditercalinium Chloride.

INN,USAN.

随便看

 

离鸟网收录3541549条中英文词条,其功能与新华字典、现代汉语词典、牛津高阶英汉词典等各类中英文词典类似,基本涵盖了全部常用中英文字词句的读音、释义及用法,是语言学习和写作的有利工具。

 

Copyright © 2004-2024 vtrois.com All Rights Reserved
更新时间:2026/5/26 7:51:41