网站首页  词典首页


请输入您要查询的字词:

 

字词 地球上物体的重力
类别 中英文字词句释义及详细解析
释义 地球上物体的重力

1.物体(质量设为m)在地球(质量设为M,半径为R)表面上受到的地球引力为,所受重力mg正是由这种引力F而产生的.

2.物体所受重力并不等于地球对物体的引力,如图所示,由于地球在不停地自转(设自转角速度为ω),地球上一切物体都随地球自转而绕地轴做匀速圆周运动,这就需要向心力,这个向心力的方向是垂直指向地轴的,其大小为f=mrω2,r是物体距地轴的距离,这个向心力的来源是地球对物体的引力F(是F的一个分力),重力乃是引力F的另一个分力

3.在不同纬度处,由于ω相同而r不同(在赤道处最大等于R,在两极处最小等于零),故同一物体随地球自转所需向心力随著纬度的增加而减小,地球是个不太规则的椭球,极半径(6357km)比赤道半径(6378km)小一些,则由万有引力定律知,同一物体所受地球引力随著纬度的增加而增大,综上所述知,同一物体所受重力(引力F与向心力f的矢量差)从赤道到两极是逐渐增大的.

4.由于物体随地球自转所需的向心力很小(比如1kg物体在赤道上所需向心力不到0.034N),物体的重力随纬变化很小,因此在一般粗略计算中,可以近似认为,物体所受重力等于物体所受地球的万有引力,即

或 GM=gR2.❸ 

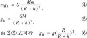
5.若物体离地球表面的高度为h,则根据同样的分析有

❹ ❺ 式表明:物体的重力和重力加速度还随著离地面高度的增加而减小,
❻ 式则表示高空h处的重力加速度gh与地面重力加速度g的定量关系.

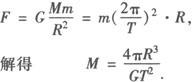
例 设地球质量为m,地球到太阳的距离为R,地球绕太阳运动的周期为T,试通过以上条件计算太阳质量M.

解 设地球绕太阳的运动为匀速圆周运动,所需要的向心力为太阳对地球的万有引力.即

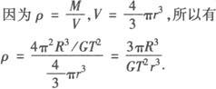
如果已知太阳的半径为r,我们可以得出太阳密度的表达式.

如果太阳系中有一非常靠近太阳的行星,其运动轨道半径R可近似认为是太阳半径r,则有.该方法可用来计算任何有行星或卫星的天体的质量及天体密度.

随便看

 

离鸟网收录3541549条中英文词条,其功能与新华字典、现代汉语词典、牛津高阶英汉词典等各类中英文词典类似,基本涵盖了全部常用中英文字词句的读音、释义及用法,是语言学习和写作的有利工具。

 

Copyright © 2004-2024 vtrois.com All Rights Reserved
更新时间:2026/4/6 19:58:47