网站首页  词典首页


请输入您要查询的字词:

 

字词 地理系统的一元线性回归分析法
类别 中英文字词句释义及详细解析
释义 地理系统的一元线性回归分析法

一个因变量只与一个自变量有相关关系,它们之间关系的形态表现为具有直线趋势。

其数学表达式为:y=a+bx。

在分析时,首先可根据所掌握的原始资料数据作出散点图,以判断变量间的关系是否呈线性,若呈直线型,则再配合回归直线表达变量间的平均变化关系。

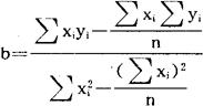
回归直线的配合关键是求得参数a和b。由最小二乘法原理求得

式中,,n为样本个数(i=1,2,…,n)

具有上述参数的线性函数,就称为一元线性回归方程。

回归分析是数理统计中一个非常重要的分支。近年来被广泛地应用于地理学研究中,并取得一定成效。

如区域或城市经济系统各要素的预测,人口预测,地区自然要素的变化预测,地理环境各要素在人类活动的干预下的变化预测等。

随便看

 

离鸟网收录3541549条中英文词条,其功能与新华字典、现代汉语词典、牛津高阶英汉词典等各类中英文词典类似,基本涵盖了全部常用中英文字词句的读音、释义及用法,是语言学习和写作的有利工具。

 

Copyright © 2004-2024 vtrois.com All Rights Reserved
更新时间:2026/4/7 17:26:40