网站首页  词典首页


请输入您要查询的字词:

 

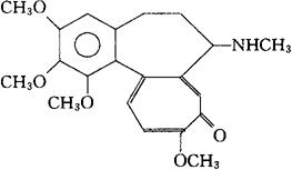
字词 地美可辛
类别 中英文字词句释义及详细解析
释义 地美可辛

C21H25NO5=371.43

CAS-477-30-5

脱乙酰-N-甲基秋水仙素。

Deacetyl-N-methylcolchicine.

抗肿瘤药。

秋水仙胺。

Demecolcine,C-12669,NSC-3096.

INN,BAN,DCF,USAN,MI.

随便看

 

离鸟网收录3541549条中英文词条,其功能与新华字典、现代汉语词典、牛津高阶英汉词典等各类中英文词典类似,基本涵盖了全部常用中英文字词句的读音、释义及用法,是语言学习和写作的有利工具。

 

Copyright © 2004-2024 vtrois.com All Rights Reserved
更新时间:2026/4/6 13:20:20