地西洛可龙
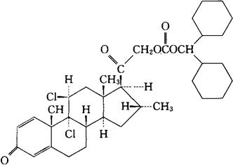
C36H50Cl2O5=633.70 CAS-78467-68-2 9,11β-二氯-21-羟-16α-甲基孕甾-1,4-二烯-3,20-二酮二环己基甲基碳酸盐。 9,11β-Dichloro-21-hydroxy-16α-methylpregna-1,4-diene-3,20-dione dicyclohexylmethyl carbonate. 9,11-二氯-21-[[(二环己基甲氧)羰基]氧]-16-甲基孕甾-1,4-二烯-3,20-二酮。 9,11-Dichloro-21-[[(dicyclohexylmethoxy)carbonyl]oxy]-16-methylpregna-1,4-diene-3,20-dione. 肾上腺皮质激素类药,消炎药,抗过敏药。氯西可通。 Locicortlone,Locicortone Dicibate. INN,USAN.  |