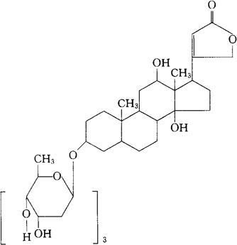
地高辛[典]
C41H64O14=780.95 CAS-20830-75-5 3β-[(O-2,6-二去氧-β-D-己吡喃核糖基-(1-4)-O-2,6-二去氧-β-D-己吡喃核糖基-(1-4)-2,6-二去氧-β-D-己吡喃核糖基)氧]-12β,14-二羟基-5β-卡-20(22)-烯内酯。 3β-[(O-2,5-Dideoxy-β-D-ribohexopyranosyl-(1→4)-O-2,6-dideoxy-β-D-ribo-hexopyranosyl-(1-→4)-2,6-dideoxy-β-D-ribo-hexopyranosyl)oxy]-12β,14-dihydroxy-5β-card-20(22)-enolide. 强心药。用于充血性心力衰竭。 长叶毛地黄苷(台),地戈辛,狄戈辛,异羟基毛地黄毒苷。 地高辛片(狄戈辛片),长叶毛地黄苷锭,地高辛注射液(长叶毛地黄苷注射液)。 Digoxin,Cordioxil,Digacin,Lanoxin. INN,BAN,BP,DCF,EP,FP,GDP,IP,JP,NFN,PH,USAN,USP,MI.  |