网站首页  词典首页


请输入您要查询的字词:

 

字词 均匀分布
类别 中英文字词句释义及详细解析
释义 均匀分布

亦称“等概率分布”、“矩形分布”。

指随机变量可能取的值充满一个区间(a,b),且区间上概率分布密度到处一样的一种分布。如某电台每隔20分钟发出一种信号,我们随手打开收音机,在收到这种信号之前的等待时间,就是一个在(0,20)区间内均匀分布的随机变量。其概率密度函数为:

式中取被积函数为常数,可使整个分布密度曲线下的面积为1。

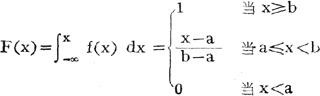
它的分布函数F(x)就是f(x)的积分:

由于均匀分布密度函数图呈长方形,故也称为“矩形分布”。

随便看

 

离鸟网收录3541549条中英文词条,其功能与新华字典、现代汉语词典、牛津高阶英汉词典等各类中英文词典类似,基本涵盖了全部常用中英文字词句的读音、释义及用法,是语言学习和写作的有利工具。

 

Copyright © 2004-2024 vtrois.com All Rights Reserved
更新时间:2026/5/26 19:24:50