网站首页  词典首页


请输入您要查询的字词:

 

字词 均方差
类别 中英文字词句释义及详细解析
释义 均方差

又叫标准差(σ)。

它是总体单位各标志值(x)与其平均数()的离差平方的算术平均数的平方根。其计算公式如下:

式中:n表示总体单位数。

在次数分配数列条件下:

式中:f表示各组的单位数(次数)。

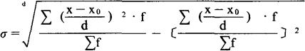
当标志数值很大时,为简化起见,可直接假定任意数x0为算术平均数,应用以下简捷法计算标准差:

在资料未经分组时:

在等距数列的情况下:

式中:d表示组距。

在异距数列时,可采用资料已分组的方法。

由于标准差采用了平方的方法来消除离差的正负号,比较符合数学要求。所以在统计研究中广泛用它来说明次数分配的离散趋势。但由于它是一个有计量单位(与平均数相同)的绝对指标,它的大小不仅取决于标志值的离散程度,还取决于数列水平的高低。

因而对于不同平均水平的数列或总体,就不宜直接通过标准差,来比较其标志变动度的大小。

随便看

 

离鸟网收录3541549条中英文词条,其功能与新华字典、现代汉语词典、牛津高阶英汉词典等各类中英文词典类似,基本涵盖了全部常用中英文字词句的读音、释义及用法,是语言学习和写作的有利工具。

 

Copyright © 2004-2024 vtrois.com All Rights Reserved
更新时间:2026/4/8 9:44:31