均衡度
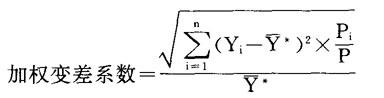
它是反映一国或一区域内地区之间经济发展差异状况。 它包括一系列具体指标: (1)静态不平衡差。两地区间的静态不平衡差=(1-L/M)×100%。式中,L为经济实力较小地区的经济指标;M为经济实力较强地区的相应经济指标。此值越大,说明地区间差距越大。反之,越小。 (2)洛伦兹曲线(参见有关章节)。 (3)变幅。它是指某一指标的最大值地区与最小值地区间指标的绝对差。 变幅虽然能反映区域内最大值地区与最小值地区间的绝对差异,但不能精确反映区域差异的全貌。 (4)标准差。  式中,Y、 分别为i地区的经济指标和各地区相应经济指标的平均值;i为区域内的地区数,i=1,2,3,…,n n为地区数。它是较全面反映区域绝对差异的指标。 (5)变差系数。  式中字母含义同(4)式。 它是反映区域内各地区间相对差异的指标。 (6)加权变差系数。  其中 式中,Yi *分别为区域内各地区的人均经济指标和全区域的人均经济指标;Pi为i地区的人口数;P为全区域的人口数。其他字母含义同(4)式,它也是反映区域内各地区间相对差异的指标。 (7)加权离均差系数。其计算公式为:  式中字母含义同(6)式。 (8)基尼系数。  式中,b为参数,通过公式I=Rb求出;R为地区个数的累计数与全区域地区总个数的百分比,I为各地区经济指标由低到高排列的、与R相对应的累计数与全区域相应经济指标的百分比。 |