网站首页  词典首页


请输入您要查询的字词:

 

字词 坎比醇
类别 中英文字词句释义及详细解析
释义 坎比醇

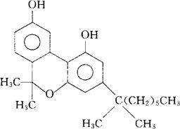
C24H38O3=374.56

CAS-56689-43-1

(±)-3-(1,1-二甲庚基)-6αβ,7,8,9,10,aα-六氢-6,6-二甲基-6H-二苯并[b,d]吡喃-1,9-二醇。

(±)-3-(1,1-Dimethylheptyl)-6aB,7,8,9,10,10aα-hexahydro-6,6-dimethyl-6H-dibenzo〔b,d〕pyran-1,9-diol.

抗高血压药。

Canbisol.

INN,USAN.

随便看

 

离鸟网收录3541549条中英文词条,其功能与新华字典、现代汉语词典、牛津高阶英汉词典等各类中英文词典类似,基本涵盖了全部常用中英文字词句的读音、释义及用法,是语言学习和写作的有利工具。

 

Copyright © 2004-2024 vtrois.com All Rights Reserved
更新时间:2026/4/7 0:26:20