网站首页  词典首页


请输入您要查询的字词:

 

字词 坚果形状系数
类别 中英文字词句释义及详细解析
释义 坚果形状系数

测定坚果形状的一项指标。

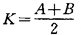
如核桃果实可测出其主要形状系数(K)和附加系数。前者是坚果两个平均数的参数(宽和厚)与高之比。

式中A为沿缝合线果径;B为沿侧边的果径;H为果高。当K=0.95时为圆球形;<0.95则为椭圆形。

附加系数为沿缝合线的直径与侧边直径之比,如果实横切面为较正的圆形,则附加系数为0.95~1.0,>1.05时,则为扁圆形。一般圆形、长圆形的坚果取仁较易,扁圆形则较难。

随便看

 

离鸟网收录3541549条中英文词条,其功能与新华字典、现代汉语词典、牛津高阶英汉词典等各类中英文词典类似,基本涵盖了全部常用中英文字词句的读音、释义及用法,是语言学习和写作的有利工具。

 

Copyright © 2004-2024 vtrois.com All Rights Reserved
更新时间:2026/5/31 22:37:30