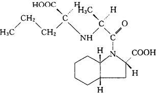
培吲普利拉
C17H28N2O5=340.42 CAS-95153-31-4 (2S,3aS,7aS)-1-[(S)-N-[(S)-1-羧丁基]丙氨酰]六氢-2-二氢吲哚羧酸。 (2S,3aS,7aS)-1-[(S)-N-[(S)-1-Carboxybutyl]alanyl]hexahydro-2-indolinecarboxylicacid. 1-[2-[(1-羧丁基)氨基]-1-氧代丙基]-八氢-1H-吲哚-2-羧酸。 1-[2-[(I-Carboxybutyl)amino-1-oxopropyl]octahydro-1H-indole-2-carboxylic acid. 抗高血压药(血管紧张素转化酶抑制药)。 普吲哚酸。 Perindoprilat,S9780. INN,BAN,USAN.  |