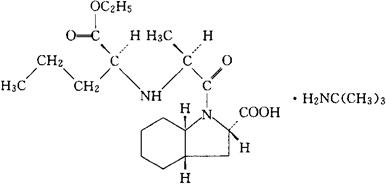
培吲普利甲丙胺
C19H32N2O5·C4H11N=441.61 CAS-107133-36-8 [2S-[1-[R*(R*)],2α,3aβ,7aβ]]-1-[2-[[1-(乙氧羰基)丁基]氨基]-1-氧代丙基]八氢-1H-吲哚-2-羧酸,与2-甲基-2-丙烷胺(1∶1)的化合物。 [2S-[1-[-R*(R*)],2α,3aβ,7aβ]]-1-[2-[[1-(Ethoxycarbonyl)butyl]amino]-1-oxopropyl]octahydro1H-indole-2-carboxylic acid,compd.with 2-methyl2-propanamine(1∶1). (2S,3aS,7aS)-1-[(S)-N-[(S)-羧丁基]丙氨酰]六氢-2-二氢吲哚羧酸1-乙酯与叔-丁胺(1∶1)的化合物。(2S,3aS,7aS)-1-[(S)-N-[(S)-1-Carboxybutyl]alanyl]hexahydro-2-indolinecarboxylic acid,1-ethylester,conpound with tertbutylamine(1∶1). 抗高血压药。 Perindopril Erbumine, S-9490-3, MCN-A-2833-109. USAN.  |