网站首页  词典首页


请输入您要查询的字词:

 

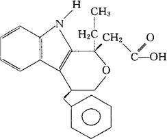
字词 培多酸
类别 中英文字词句释义及详细解析
释义 培多酸

C22H23NO3=349.43

CAS-114716-16-4

顺-(±)-1-乙基-1,3,4,9-四氢-4-(苯基甲基),吡喃并(3,4-b)吲哚-1-乙酸。

cis-(±)-1-Ethyl-1,3,4,9-tetrahydro-4-(phenylmethyl),pyrano[3,4-b]indole-1-acetic acid.

(±)-顺-4-苄基-1-乙基-1,3,4,9-四氢吡喃并[3,4-b]吲哚-1-乙酸。

(±)-cis-4-Benzyl-1-ethyl-1,3,4,9-tetrahydropyrano[3,4-b]indole-1-acetic acid.

镇痛药,抗炎药。

Pemedolac,AY-30,715.

INN,USAN.

随便看

 

离鸟网收录3541549条中英文词条,其功能与新华字典、现代汉语词典、牛津高阶英汉词典等各类中英文词典类似,基本涵盖了全部常用中英文字词句的读音、释义及用法,是语言学习和写作的有利工具。

 

Copyright © 2004-2024 vtrois.com All Rights Reserved
更新时间:2026/4/8 4:16:29