培曲氯醛
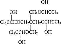
C13H16Cl12O8=725.70 CAS-78-12-6 1,1′,1“,1′′′,-(新戊烷四基四氧)四个(2,2,2-三氯乙醇)。 1,1′,1″,1″,-(Neopentanetetryltetraoxy)tetrakis(2,2,2-trichloroethanol). 1,1′-2,2-双-[(2,2,2-三氯-1-羟乙氧)甲基]-1,3-丙烷二基双(氧)双[2,2,2-三氯乙醇]。 1,1′-2,2-bis[(2,2,2-Trichloro-1-hydroxyethoxy)-methyl]-1,3-propanediylbis(oxy)bis[2,2,2-trichloroethanol]. 四个(2,2,2-三氯-1-羟乙氧)甲基甲烷。 Tetrakis(2,2,2-trichloro-1-hydroxyethoxy)methylmethane. 催眠药,镇静药。 Petrichloral,Pentaerythrit6l Chloral,Perichloral. INN,USAN.  |