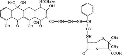
培莫环素
C39H43N5O12S=805.86 CAS-16259-34-0 6-[2-[[[4-(二甲氨基)-1,4,4a,5,5a,6,11,12a-八氢-3,6,10,12,12a-五羟-6-甲基-1,11-二氧代-2-并四苯-甲酰胺基]甲基]氨基]-2-苯乙酰胺基]-3,3-二甲基-7-氧代-4-噻-1-氮杂双环[3.2.0]庚烷-2-羧酸。 6-[2-[[[4-(Dimethylamino)-1,4,4a,5,5a,6,11,12a-oetahydro-3,6,10,12,12a-pentahydroxy-6-methyl-1,11-dioxo-2-naphthacenecarboxamido]methyl]amino]-2-phenylacetamido]-3,3-dimethyl7-oxo-4-thia-1-azabicyclo[3.2.0]heptane-2-carboxylic acid. [α-(四环素-N-甲氨基)-α-苯基乙酰胺基]-6-青霉烷酸。 [α-(Tetracycline-N-methylamino)-α-phenylacetamido]-6-penicillanic acid. 抗生素类药。 Penimocycline,Intraxium,Bo 725. INN,USAN.  |