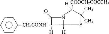
培那西林
C19H22N2O6S=406.45 CAS-983-85-7 3,3-二甲基-7-氧代-6-[(苯乙酰)氨基]-[[2S-(2α,5α,6β)]-4-噻-1-氮杂双环[3.2.0]庚烷-2-羧酸(乙酰氧)甲酯。 3,3-Dimethyl-7-oxo-6-[(phenylacetyl)amino]-[2S(2α,5α,6β)]-4-thia-1-azabicyclo[3.2.0]heptane-2-carboxylic acid,(acetyloxy)methyl ester. (2S,5R,6R)-3,3-二甲基-7-氧代-6-(2-苯基乙酰氨基)-4-噻-1-氮杂双环[3.2.0]庚烷-2-羧酸羟甲基乙酸酯。 Hydroxymethyl(2S,5R,6R)-3,3-dimethyl-7-oxo-6-(2-phenylacetamido)-4-thia-1-azabicyclo[3.2.0]heptane-2-carboxylate,acetate(ester). 抗生素类药。 青霉素双酯。 Penamecillin,WY-20,788,Havapen,Maripen, INN,BAN,USAN. 
|