网站首页  词典首页


请输入您要查询的字词:

 

字词 基因文库
类别 中英文字词句释义及详细解析
释义 基因文库

是指将某种生物的总DNA或单个染色体、细胞器(叶绿体、线粒体)DNA的所有片段,以与载体DNA重组的形式引入受体细胞中,然后通过细胞增殖形成一系列克隆的总体。

基因文库是分离基因特别是分离真核生物有价值的基因用于改造动植物以及生产珍贵医药等基因工程的有效手段。基因文库还可以用于研究基因表达和调控、基因定位、核酸序列分析、物种亲缘关系以及医学诊断治疗等。

基因文库的建立和使用是70年代早期重组DNA技术的一个发展。

从1974年起已相继建立了大肠杆菌、酵母菌、果蝇、海胆、蚕、鼠、兔、人、玉米、大豆和水稻等生物的基因文库。

近年国内外基因文库技术的研究更接近于实用水平。例如,构建了24个人类单染色体文库进行基因定位和DNA序列分析(M.A.vanDilla等,1990),建立了虹鳟鱼和大麻哈鱼(杨学成,1991)、猪(寇蔻,1991)和羊(任兆钧,1990)的基因文库并从中筛检出生长激素基因克隆,构建了漫生型大豆根瘤菌(彭文涛,1990)和Frankia菌(崔玉梅等,1990)的基因文库,并从中钩出了结瘤基因克隆,以及利用弓形虫基因文库(夏爱娣等,1990)进行了弓形虫DNA诊断技术研究等。

基因文库有染色体基因文库和cDNA基因文库两种。前者由细胞核总DNA构建。由于真核细胞大而复杂,从其染色体基因文库分离基因特别是单考贝基因比较困难。但从这里分离的基因含有内含子以及结构基因两侧的调控序列,对于研究基因表达调控和转录加工非常重要。

cDNA文库一般由丰度较高的mRNA逆转录合成的cDNA构建,可分离的目的基因在文库中比例较高。cDNA不含内含子和调控序列,从中分离出的基因只要与载体合适的启动子连接就能在任何生物体内表达。

所以要依据研究目的来选择建立染色体基因文库或cDNA文库,或同时具有2种文库。

基因文库构建一般有下列程序。

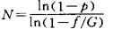
设计 一个基因文库应包含的克隆数的多少(N)决定于生物基因组的大小(G)、载体所能容纳外源DNA片段的长短(f)和所需基因从文库中检出的机率(p)。基因组的大小和DNA片段的长短用碱基对或道尔顿表示。这个关系如下式:

目的DNA片段的制备 从供体生物中提取出纯净DNA,然后用限制性内切酶把DNA切成所需大小片段。原核生物一个基因的长度大约是一个kb。真核生物由于有内含序列基因长度约10倍于原核生物,即10个kb左右。DNA片段的大小,还要依据载体能整合外源DNA的长度来定。所需一定长度的DNA片段可通过选择不同内切酶和控制其作用时间、用量获得。

载体DNA的制备 在开始研究基因重组技术时,作为载体的是一些天然的细菌质粒和λ噬菌体。

后来,利用重组DNA技术,采用点实变、置换和缺失等方法对这两类载体进行了改造、构建了多种系列容量幅度宽、与外源DNA重组机率高、筛选特性强的各自衍生载体及其杂种载体。例如,已将几种大肠杆菌质粒重组成了pBR系列载体:pMB9,pBR322,pBR325等。

在λ噬菌体类载体中,适合作构建真核生物基因文库的是其衍生物Charon系列载体,已发展到30余种,可携带外源DNA片段达22kb,而且重组体很便于筛检。容纳外源DNA片段更长的是早由λDNA和质粒DNA重组构成的杂种质粒一粘粒(cosmid)载体,其本身DNA仅有6kb,却能携带45kb的外源DNA。

更令人注目的是已重组成了能容纳100~200kb或更长的外源DNA的粘粒载体和噬菌体M13系列载体,利用外源DNA片段遗传信息的相互覆盖进行基因定位和DNA序列分析。

重组DNA 用噬菌体连接酶或大肠杆菌连接酶把目的DNA片段与切开的载体DNA缝合在一起,形成重组DNA。

重组DNA包装 用质粒作为载体的重组DNA可通过转化引进受体细胞。用λ噬菌体的DNA作载体的重组分子直接经转染引入细胞的效率较低;如果先用外壳蛋白质包装后再引入(转导)受体细胞,其效率要比直接转染高几十到几百倍。

包装蛋白一般取自2个溶源性噬菌体菌株。这两个菌株分别带有使外壳蛋白发生缺陷的2个琥珀突变,使它们分别都不能包装,在一起时才能包装。这样就比较安全。

谢雍(1987)和杨学成(1991)在构建水稻和虹鳟鱼基因文库时,重组DNA就是用来自E.coli的BHB2688和BHB2690的2种λ噬菌体菌株的外壳蛋白抽提物包装的。

重组DNA的增殖和保存 将重组DNA引进大肠杆菌细胞后随各自的载体增殖而增殖。在每个细菌细胞中仅繁殖1种重组DNA分子,1个细菌的后代(即克隆;每个菌落中约含107个细菌)也就包含著同样1个目的基因。

结果,繁殖包括各种各样重组分子的所有细菌细胞,就形成了某个有机体的一大批基因,而且每个基因又有无数个考贝。这就是基因文库。

文库中的基因可以质粒重组DNA形式保存起来(沉定在乙醇中)。如果是重组噬菌体DNA,最好是保存在固定培养基上(室温下)。

在固体培养基上每个细菌单独形成菌落,互不干扰竟争,因而有利于全部克隆的保存。这样的克隆必须定期地转移到新的培养基上。

如何从基因文库钩取所需的基因呢?常用的方法是分子杂交。首先把属于一个文库中的细菌以较低的密度接种在固定培养基上。

然后将硝酸纤维膜覆于培养皿上,吸印下细胞克隆,其位置与培养皿上完全对应。在这同时要制备供分子杂交用的探针。常用的探针是用放射性元素标志的与待钩取的DNA互补的DNA,即cDNA。cDNA可通过反转录mRNA和依据多肽链结构化学合成(可以是与待钩取DNA互补的一小断片)。

探针与滤膜上DNA经变性杂交后,覆盖于X光底片上进行放射自显影。在培养皿中找到与底片上黑点相对应的菌落或噬菌斑。

后者便包含著要找的基因。再经扩增以获得大量基因副本。

如果既不知道基因结构,也不知道由它编码的蛋白质结构,但知道是一种什公蛋白质。于是就设法获得该蛋白质抗体。该抗体只同产生它的抗原互相作用,形成抗体-抗原复合体。这样就可找到待分离的基因克隆。

值得注意的是,近年发展起来的多聚酶链式反应(PCR)技术也有研究者(E.D.Green,1990;J.S.Tung et al,1989)用来从基因文库分离基因,表现了很高的特异性和灵敏度。

基因文库构建的技术关键已经解决并日臻完善。未来研究的重点是如何使文库构建和基因筛检过程自动化。研究分离单个染色体和建立单染色体基因文库以及构建和利用特大容量载体用于染色体重建、基因定位、DNA序分析和研究基因表达调控等问题仍将为研究者所注目。

当代面临人类最大的问题是大量动植物珍稀资源的迅速丧失。研究如何利用基因文库技术保存频危珍稀基因资源和恢复已灭绝的动植物也将是未来科学的热点。

【参考文献】:

1 安彩泰.基因文库.生物学通报,1991,3∶6~8

2 柴建华.基因文库.中国大百科全书生物分册:遗传学.北京:中国大百科全书出版社,1983.98~101

3 Tung J S,et al. PCR amplification of specific sequences from a cDNA libray. In PCR technology, 1989. 99~104 van Dilla M A.et al. Construction of gene libraries for each human chromosome. Cytometry, 1990,11(1) :208~218

(甘肃农业大学安彩泰教授撰)

随便看

 

离鸟网收录3541549条中英文词条,其功能与新华字典、现代汉语词典、牛津高阶英汉词典等各类中英文词典类似,基本涵盖了全部常用中英文字词句的读音、释义及用法,是语言学习和写作的有利工具。

 

Copyright © 2004-2024 vtrois.com All Rights Reserved
更新时间:2026/4/7 12:16:28