网站首页  词典首页


请输入您要查询的字词:

 

字词 堰池纸料流速的计算
类别 中英文字词句释义及详细解析
释义 堰池纸料流速的计算

【公式】

式中 V1——堰池纸料流速(m/s)

Q——进堰池浆量(进流浆箱量)(m3/s)

Fn——堰池内浆料断面面积(m2)

对于敝开式流浆箱:

Fn=Bs(H2+H1) (1-15-41)

对于气垫式(真空)流浆箱:

Fn=Bs(H2+H1) (1-15-42)

H——上网浆位高度(m)

H1——溢流浆位高度(m)

H2——流浆箱堰池实际浆位高度(m)

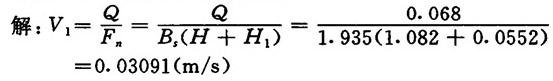
【例】 求上例中的纸料流速。

随便看

 

离鸟网收录3541549条中英文词条,其功能与新华字典、现代汉语词典、牛津高阶英汉词典等各类中英文词典类似,基本涵盖了全部常用中英文字词句的读音、释义及用法,是语言学习和写作的有利工具。

 

Copyright © 2004-2024 vtrois.com All Rights Reserved
更新时间:2026/5/25 10:26:02