填料对光学性质的影响
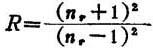
1.折光率 可能存在于纸张中的各种物质的折光率如表10—4—39所示。 表10—4—39 1—锐钛型二氧化钛 2—合成的硅酸钙 3—作为涂布用的高岭土 4—作为填料用的高岭土 填料颗粒的大小散射和反射的影响如图10—4—19所示。 1—散射 2—反射 从图10—4—19 可以看出,散射是随颗粒的增大而增加的,反射是随颗粒的减小而增加的。 3.填料对不透明度的影响 按Kubelka—Munk的看法,不透明度取决于纸页内单个颗粒的数目,以及这些颗粒和周围介质的折光率。转向光的能力如下式表示,并作为两个折光率的函数。  其中nr=n1/n2,而n1和n2是两个相邻物料的折光率。填料的折光率越大,提高纸张不透明度的程度越显著。 |