网站首页  词典首页


请输入您要查询的字词:

 

字词 壁纸原纸的阻燃标准——氧指标的测定计算
类别 中英文字词句释义及详细解析
释义 壁纸原纸的阻燃标准——氧指标的测定计算

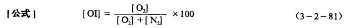
[说明]所谓氧指数,是指在该物质引燃后,能保持燃烧长度为50mm或燃烧时间为3min钟时,氧、氮混合气体中所需最低含氧量的体积百分比浓度。壁纸原纸阻燃标准应达到氧指数32%以上。

式中 [OI]-氧指数

[O2]-测定浓度下氧的体积流量(L/min)

[N2]-测定浓度下氮的体积流量(L/min)

随便看

 

离鸟网收录3541549条中英文词条,其功能与新华字典、现代汉语词典、牛津高阶英汉词典等各类中英文词典类似,基本涵盖了全部常用中英文字词句的读音、释义及用法,是语言学习和写作的有利工具。

 

Copyright © 2004-2024 vtrois.com All Rights Reserved
更新时间:2026/4/8 13:31:18