网站首页  词典首页


请输入您要查询的字词:

 

字词 复合函数的奇偶性
类别 中英文字词句释义及详细解析
释义 复合函数的奇偶性

若f(x)、g(x)有公共定义域A,且具有奇偶性则在公共定义域A上有如下结论:

❶ 奇×奇=偶❷ 奇×偶=奇

❸ 偶×偶=偶❹ 奇±奇=奇

❺ 偶±偶=偶

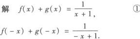
例 若f(x)是偶函数,g(x)是奇函数,且求f(x)、g(x)的解析式

又f(x)为偶函数,g(x)为奇函数,所以

解由❶ ,
❷ 组成的方程组,得f(x)=

随便看

 

离鸟网收录3541549条中英文词条,其功能与新华字典、现代汉语词典、牛津高阶英汉词典等各类中英文词典类似,基本涵盖了全部常用中英文字词句的读音、释义及用法,是语言学习和写作的有利工具。

 

Copyright © 2004-2024 vtrois.com All Rights Reserved
更新时间:2026/4/7 23:21:42