复合函数的导数
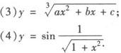
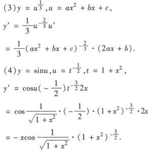
法则4 复合函数对自变量的导数,等于已知函数对中间变量的导数,乘以中间变量对自变量的导数,即y′x=y′u·u′x. 例 下列函数是由一些简单的函数复合而成的,写出它们的复合过程,并求出它们关于x的导数. (1)y=(x2+2x)3; (2)y=e5+4x2;  解 中间变量的设置,以基本初等函数为最小单位,直接利用基本公式表求导. (1)y=u3,u=x2+2x,y′=3u2·u′ =3(x2+2x)2(x2+2x)′ =3(x2+2x)2(2x+2). (2)y=eu,u=5+4x2, y′=eu·u′=e5+4x2·8x.  |