网站首页  词典首页


请输入您要查询的字词:

 

字词 复数的模
类别 中英文字词句释义及详细解析
释义 复数的模

表示复数z=a+bi的向量的长度r叫做复数z=a+bi的模(或绝对值).记作|z|或|a+bi|.易知|z|=|a+bi|=r=,当b=0时,复数a+bi表示实数a.此时,即a在实数意义上的绝对值.

例1 已知i是虚数单位,求1+i1+i2+i3+…+i2003

解 利用i2=1.

1+i1+i2+i3+…+i2003

=(1+i1+i2+i3)+(i4+i5+i6+i7)+…+(i1996+i1997+i1998+i1999)+(i2000+i2001+i2002+i2003)

=(1+i—1—i)+(1+i—1—i)+…+(1+i—1—i)+(1+i—1—i)=0.

例2 m分别为何实数时,复数

(1)实数;(2)虚数;(3)纯虚数.

解 利用相关知识,转化为解关于i的方程或不等式问题.

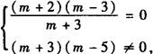
实部为

虚部为m2—2m—15=(m+3)(m—5)

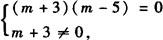
(1)要使z是实数,必须

∴m=5时z是实数.

(2)要使z为虚数,必须(m+3)(m—5)≠0,

∴当m≠5且m≠—3时,z为虚数.

(3)要使z为纯虚数,必须

∴当m=—2或m=3时,z为纯虚数

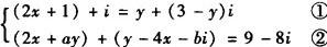
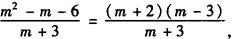
例3 已知关于x、y的方程组

有实根,求a、b的值.其中a、b∈R

解 ∵x、y∈R,据复数相等的充要条件,由方程❶ 式得

代入方程❷ ,

例4 已知关于t的一元二次方程t2+(2+i)t+2xy+(x—y)i=0,(x、y∈R)

(1)当方程有实根时,求点(x,y)的轨迹方程;

(2)求方程的实根的取值范围.

解 (1)和上例相比,方程中有三个参数t、x、y,由复数相等的充要条件能得到两个等式,而结论是求动点(x,y)的轨迹方程,联想到平面解析几何知识,只须消去t,得到关于x、y的方程,就是所求动点的轨迹方程.

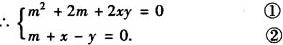
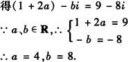
(1)设实根m,则m2+(2+i)m+2xy+(x—y)i=0,

即:(m2+2m+2xy)+(m+x—y)i=0,

由❷ 得m=y—x,代入❶ 得(y—x)2+2(y—x)+2yx=0.

即(x—1)2+(y+1)2=2,轨迹是以(1,—1)为圆心,为半径的圆.

由上面解答的过程中的❷ 知m+x—y=0可看作一条直线,由❸ 知(x—1)2+(y+1)2=2是一个圆,因此求实根m的范围可转化为直径与圆公共点的问题.

(2)由❸ 得圆心为(1,—1),半径r=,直线和圆有公共点,则,而|m+2|≤2,∴—4≤m≤0.故方程的实根的取值范围为[—4,0].

例5 (a∈R)对应的点Z❶ 在复平面的x轴上方,
❷ 在直线x+y+7=0上.

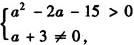
❶ 点Z在x轴上方,则

有(a—5)(a+3)>0,

∴a>5或a<—3.

❷ 点Z在直线x+y+7=0上,

时,

即a3+2a2—15a—30=0,

(a+2)(a2—15)=0.

∴a=—2或时,点Z在直线x+y+7=0上.

例6 已知复数x2+x—2+(x2—3x+2)i(x∈R)是4—20i的共轭复数,求x的值.

解 根据互为共轭复数的定义,已知复数为4+20i,由复数相等的定义,可列出关于x的两个方程,这两个方程的公共解即为所求x.

因为4—20i的共轭复数是4+20i,由题意 得

方程❶ 的解为x=—3或x=2

方程❷ 的解为x=—3或x=6.

∴x=—3.

随便看

 

离鸟网收录3541549条中英文词条,其功能与新华字典、现代汉语词典、牛津高阶英汉词典等各类中英文词典类似,基本涵盖了全部常用中英文字词句的读音、释义及用法,是语言学习和写作的有利工具。

 

Copyright © 2004-2024 vtrois.com All Rights Reserved
更新时间:2026/4/7 9:32:16