网站首页  词典首页


请输入您要查询的字词:

 

字词 复数的除法
类别 中英文字词句释义及详细解析
释义 复数的除法

复数的除法是乘法的逆运算,即把满足(c+di)(x+yi)=a+bi(c+di≠0)的复数x+yi,叫做复数a+bi除以复数c+di的商,记作(a+bi)÷(c+di),或

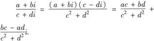
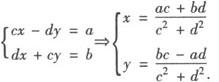
由(c+di)(x+yi)=a+bi,有

所以,由于两个共轭复数之积是实数,上述结果也可以通过将分母实数化得到

复数的除法运算一般采用后一种方法.

随便看

 

离鸟网收录3541549条中英文词条,其功能与新华字典、现代汉语词典、牛津高阶英汉词典等各类中英文词典类似,基本涵盖了全部常用中英文字词句的读音、释义及用法,是语言学习和写作的有利工具。

 

Copyright © 2004-2024 vtrois.com All Rights Reserved
更新时间:2026/4/7 17:55:46