网站首页  词典首页


请输入您要查询的字词:

 

字词 复数阻抗
类别 中英文字词句释义及详细解析
释义 复数阻抗

4.4.1 复数阻抗的概念

在正弦交流电路中,某一支路或无源二端网络的电压相量和电流相量的比值也是复数,则称为复数阻抗,简称复阻抗,即

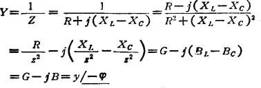
在交流电路中复数阻抗有时也用复数导纳(简称复导纳)表示。复导纳是复数阻抗的倒数。如R、L、C串联电路,其复导纳为

式中 G=,为电导(s);EL=,为感纳(s);BC=,为容纳(s);B=BL-BC,为电纳(s);Y=,为导纳(s);

φ=tg-1=tg-1,为该支路电压与电电流的相位差。

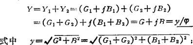
在图8.1-20b)中,若设Y1=G1+fB1、Y2=G2+fB2,则该支路的等效复导纳为

随便看

 

离鸟网收录3541549条中英文词条,其功能与新华字典、现代汉语词典、牛津高阶英汉词典等各类中英文词典类似,基本涵盖了全部常用中英文字词句的读音、释义及用法,是语言学习和写作的有利工具。

 

Copyright © 2004-2024 vtrois.com All Rights Reserved
更新时间:2026/4/7 17:26:01