网站首页  词典首页


请输入您要查询的字词:

 

字词 外部收益率法
类别 中英文字词句释义及详细解析
释义 外部收益率法

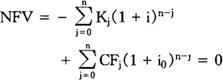
假设所回收的现金以相当于标准折现率的收益率再进行投资,使未来现金流量现值为零的收益率。

公式为:

式中:i1——外部收益率;i0——标准利率;Kj——第j年投资额。

外部收益率和内部利率相似,也是评价项目投资效率的指标,求解时也采用插值法求近似解,但也可以直接求解。计算出的ERR与标准利率相比,ERR≥标准利率则项目可行,否则不可行。

ERR的优点在于就经济意义而言比内部利率法更合理,因为它关于再投资的假设比较符合实际。

随便看

 

离鸟网收录3541549条中英文词条,其功能与新华字典、现代汉语词典、牛津高阶英汉词典等各类中英文词典类似,基本涵盖了全部常用中英文字词句的读音、释义及用法,是语言学习和写作的有利工具。

 

Copyright © 2004-2024 vtrois.com All Rights Reserved
更新时间:2026/5/25 15:49:59