网站首页  词典首页


请输入您要查询的字词:

 

字词 多元线性回归预测模型
类别 中英文字词句释义及详细解析
释义 多元线性回归预测模型

描述因变量Y对多个自变量X1,X2,…Xn的线性量变关系,用于进行预测的多元线性回归方程。

模型的基本形式为:

多元线性回归预测模型的假设,与一元线性回归预测模型相同。除此以外,还假设各自变量X之间不存在确定的线性关系。

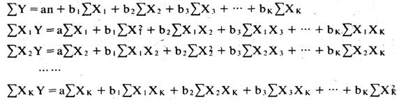
多元线性回归预测模型也是应用最小二乘法以求得回归系数a,b1,b2…bK的值,使估计值与实际观测值Yi之间的总离差平方和为最小,从而达到回归方程与实际数据点的拟合为最佳。对于一个由因变量Y和两个自变量X1和X2构成的多元线性回归模型,应用最小二乘法求解,可导出三个标准方程:

对于R个自变量X1,X3,X1的多元线性回归模型,则可导出K+1(为了防止与数据点n的代号混淆,用K代表自变量个数)个标准方程

比较以上两个标准方程组,可见多元线性回归预测模型标准方程的结构是对称的,每增加一个自变量,只须在原有方程组的基础上在最后增加一个方程式,并在原方程组的最后增加一列。

应用矩阵代数,解以上方程组,就可求得回归系数a,b1,b2,¨bK的值,建立多元线性回归预测模型。

随便看

 

离鸟网收录3541549条中英文词条,其功能与新华字典、现代汉语词典、牛津高阶英汉词典等各类中英文词典类似,基本涵盖了全部常用中英文字词句的读音、释义及用法,是语言学习和写作的有利工具。

 

Copyright © 2004-2024 vtrois.com All Rights Reserved
更新时间:2026/4/6 21:47:59