网站首页  词典首页


请输入您要查询的字词:

 

字词 多夫曼-斯坦纳条件
类别 中英文字词句释义及详细解析
释义 多夫曼-斯坦纳条件

这是指多夫曼和斯坦纳于1954年提出的分析垄断厂商广告水平的一个条件。

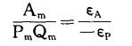
它可由以下公式表示:

其中A为垄断厂商的广告支出,P为产品价格,A和P为厂商可选择的变量,Am为垄断市场的均衡广告支出,Pm为均衡价格,Qm为均衡产出,εA为需求的广告支出弹性,εP为需求的价格弹性。

多夫曼-斯坦纳条件表明,一个以利润最大化为目标的垄断厂商应将其广告支出和价格设定到这样一个水平,即广告支出与厂商收入的比率等于广告支出弹性与价格弹性比率的绝对值。

这样,当需求相对于广告支出变得更有弹性(即εA趋于1),或需求相对于价格变得更缺乏弹性时(即εP趋于0),垄断厂商可以提高广告支出占销售额的比率。

随便看

 

离鸟网收录3541549条中英文词条,其功能与新华字典、现代汉语词典、牛津高阶英汉词典等各类中英文词典类似,基本涵盖了全部常用中英文字词句的读音、释义及用法,是语言学习和写作的有利工具。

 

Copyright © 2004-2024 vtrois.com All Rights Reserved
更新时间:2026/4/6 20:16:54