网站首页  词典首页


请输入您要查询的字词:

 

字词 多头螺纹螺杆的挤出量
类别 中英文字词句释义及详细解析
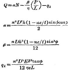
释义 多头螺纹螺杆的挤出量

螺杆常数A1=n(A)

螺杆常数B1=n(B)

式中:A1及B1为多头螺纹螺杆的螺杆常数,n=螺纹头数。

另外,

式中:E=螺杆的偏心度因数

t=螺杆导程=πDtanΦ

随便看

 

离鸟网收录3541549条中英文词条,其功能与新华字典、现代汉语词典、牛津高阶英汉词典等各类中英文词典类似,基本涵盖了全部常用中英文字词句的读音、释义及用法,是语言学习和写作的有利工具。

 

Copyright © 2004-2024 vtrois.com All Rights Reserved
更新时间:2026/5/26 9:23:20