网站首页  词典首页


请输入您要查询的字词:

 

字词 多奈替丁
类别 中英文字词句释义及详细解析
释义 多奈替丁

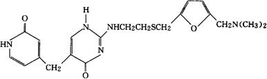
C20H25N5O3S=415.51

CAS-99248-32-5

5-[(1,2-二氢-2-氧代-4-吡啶基)甲基]-2-[[2-[[[5-[(二甲氨基)甲基]-2-呋喃基]甲基]硫代]乙基]氨基]-4(1H)-嘧啶酮。

5-[(1,2-Dihydro-2-oxo-4-pyridinyl)methyl]-2-[[2- [[[5-[(dimethylamino)methyl]-2-furanyl]methyl]thio]ethyl]amino]-4(1H)-pyrimidinone.

5-[(1,2-二氢-2-氧代-4-吡啶基)甲基]-2-[[2-[[5-[(二甲基氨基)甲基]糠基]硫代]乙基]氨基]-4(1H)-嘧啶酮。

5-[(1,2-Dihydro-2-oxo-4-pyridyl)methyl]-2-[][2-[[5-[(dimethylamino)methyl]furfuryl]thio]ethyl]amino]-4(1H)-pyrimidinone.

组胺H2-受体阻滞药。

Donetidine,SK&F 93574.

INN,BAN,USAN.

随便看

 

离鸟网收录3541549条中英文词条,其功能与新华字典、现代汉语词典、牛津高阶英汉词典等各类中英文词典类似,基本涵盖了全部常用中英文字词句的读音、释义及用法,是语言学习和写作的有利工具。

 

Copyright © 2004-2024 vtrois.com All Rights Reserved
更新时间:2026/5/25 12:39:15