多巴金刚
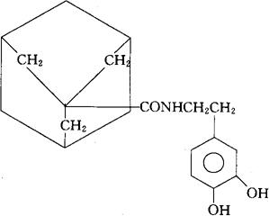
C19H25NO3=315.41 CAS-39907-68-1 N-[2-(3,4-二羟苯基)乙基]三环[3,3,1,13,7]癸烷-1-羧酰胺。 N-[2-(3,4-Dihydroxyphenyl)ethyl]-tricyclo[3,3,1,13,7]decane-1-carboxamide. N-(3,4-二羟苯乙基)-1-金刚烷羧酰胺。 N-(3,4-Dihydroxyphenethyl)-1-adamantanecar boxamide. 抗震颤麻痹药。 多巴曼丁。 Dopamantine,Sch 15507. INN,USAN.  |