网站首页  词典首页


请输入您要查询的字词:

 

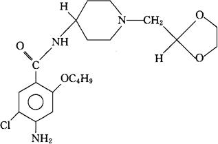
字词 多布必利
类别 中英文字词句释义及详细解析
释义 多布必利

C20H30ClN3O4=411.93

CAS-106707-51-1

4-氨基-2-丁氧-5-氯-N-[1-(1,3-二氧戊环-2-甲基)-4-哌啶基]-苯甲酰胺。

4-Amino-2-butoxy-5-chloro-N-[1-(1,3-dioxolan-2-ylmethyl)-4-piperidy]-benzamide.

抗精神病药,镇吐药。

Dobupride.

INN,USAN.

随便看

 

离鸟网收录3541549条中英文词条,其功能与新华字典、现代汉语词典、牛津高阶英汉词典等各类中英文词典类似,基本涵盖了全部常用中英文字词句的读音、释义及用法,是语言学习和写作的有利工具。

 

Copyright © 2004-2024 vtrois.com All Rights Reserved
更新时间:2026/4/6 16:26:29