多康唑
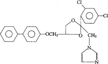
C26H22Cl2N2O3=481.38 CAS-59831-63-9 顺式-1-[[4-[([1,1′-联苯]-4-基氧)甲基]-2-(2,4-二氯苯基)-1,3-二氧环戊-2-基]甲基]-1H-咪唑。 cis-1-[[4-[([1,1′-Biphenyl]-4-yloxy)methyl]-2-(2,4-dichlorophenyl)-1,3-dioxolan-2-yl]methyl]-1H-imidazole. 顺式-1-[[4-[(4-联苯氧)甲基]-2-(2,4-二氯苯基)-1,3-二氧环戊-2-基]甲基]咪唑。 cis-1-[[4-[(4-Biphenyloxy)methyl-2-(2,4-dichlorophenyl)-1,3-dioxolan-2-yl]methyl]imidazole. 抗真菌药。 Doconazole,R 34,000. INN,USAN.  |