网站首页  词典首页


请输入您要查询的字词:

 

字词 多普地尔
类别 中英文字词句释义及详细解析
释义 多普地尔

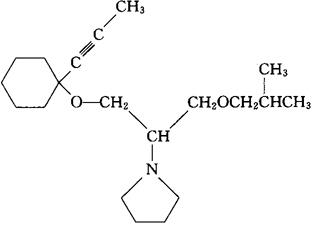
C20H35NO2=321.50

CAS-79700-61-1

1-[1-(异丁氧甲基)-2-[[1-(1-丙炔基)环己基]氧]乙基]吡咯烷。

1-[1-(Isobutoxymethyl)-2-[[1-(1-propynyl)cyclohexyl]oxy]ethyl]pyrrolidine.

血管扩张药。

Dopropidil.

INN,USAN.

随便看

 

离鸟网收录3541549条中英文词条,其功能与新华字典、现代汉语词典、牛津高阶英汉词典等各类中英文词典类似,基本涵盖了全部常用中英文字词句的读音、释义及用法,是语言学习和写作的有利工具。

 

Copyright © 2004-2024 vtrois.com All Rights Reserved
更新时间:2026/5/25 15:44:48