网站首页  词典首页


请输入您要查询的字词:

 

字词 多服务台排队模型
类别 中英文字词句释义及详细解析
释义 多服务台排队模型

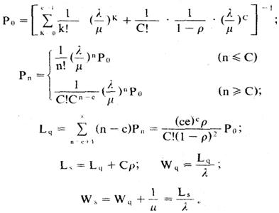
单位时间的顾客平均到达率和平均服务率为随机型的多服务台排队模型。

其假设条件与M/M/1模型相同,所不同的是:并列的多服务台同时服务,工作是相互独立不协作,平均服务率相同,μ12=…=μc,整个服务机构的平均服务率为Cμ,只有当时,才不会排成无限的队列。令,称它为系统的服务强度或服务台的平均利用率。(模型的系统运行图参见“服务机构”)。设已知参数λ和μ的取值,且λ<Cμ,则可按下式计算系统的各项运行指标:

随便看

 

离鸟网收录3541549条中英文词条,其功能与新华字典、现代汉语词典、牛津高阶英汉词典等各类中英文词典类似,基本涵盖了全部常用中英文字词句的读音、释义及用法,是语言学习和写作的有利工具。

 

Copyright © 2004-2024 vtrois.com All Rights Reserved
更新时间:2026/5/25 12:57:16