网站首页  词典首页


请输入您要查询的字词:

 

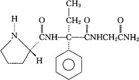
字词 多瑞肽
类别 中英文字词句释义及详细解析
释义 多瑞肽

C17H24N4O3=332.40

CAS-90104-48-6

(2S)-N-[(αR)-α-[(氨甲酰甲基)氨甲酰]-α-乙基苄基]-2-吡咯烷羧酰胺。

(2S)-N-[(αR)-α-[(Carbamoylmethyl)carbamoyl]-α-ethylbenzyl]-2-pyrrolidinecarboxamide.

抗震颤麻痹药。

Doreptide.

INN,USAN.

随便看

 

离鸟网收录3541549条中英文词条,其功能与新华字典、现代汉语词典、牛津高阶英汉词典等各类中英文词典类似,基本涵盖了全部常用中英文字词句的读音、释义及用法,是语言学习和写作的有利工具。

 

Copyright © 2004-2024 vtrois.com All Rights Reserved
更新时间:2026/5/26 22:50:09