网站首页  词典首页


请输入您要查询的字词:

 

字词 多管重叠敷设允许跨度计算
类别 中英文字词句释义及详细解析
释义 多管重叠敷设允许跨度计算

[说明]多管重叠敷设时,一般大管放在下面,小管放在上面,两管中心线之间间距根据管道种类而定。其跨度的计算,先找出各管单独敷设之允许跨度,根据跨度决定荷重分布型式,再按下面的公式求叠管跨度。

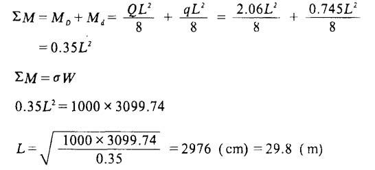
1.综合弯矩的计算

式中 MD、Md——大管本身及小管对大管形成集中负荷附加之弯矩(N·m)计算公式见表2-5-33

表2-5-33 附加弯矩和挠度计算公式表

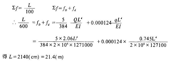
2.综合挠度计算

[公式] Σf=fD+fd(m) (2-5-72)

式中 fD、fd——大管本身及小管对大管形成集中负荷而附加挠度(m),计算公式见表2-5-33

3.弯曲应力计算

式中 σ——弯曲应力(Pa),对于钢管不大于108Pa(1000kg/cm2)

W——截面模数(m3)

4.按强度计算跨度

[说明]从表2-5-33中查得MD及Md的计算公式,即可由下式求出跨度值。

式中符号含义及单位同上

5.按挠度计算跨度

[说明]从表2-5-33中查得fD及fd的计算公式即可由下式计算跨度值。

式中符号含义及单位同上

[注意]当管道转弯时,如在转角处不设活动管架,则两管间延长距离为计算跨度的0.82倍。

6.计算实例

[例]某气体管道的尺寸为Φ820×6mm,在上面支承一根Da150mm蒸汽管道,计算气体管道之允许跨度。

解:按单独敷设时管道允许跨度计算如下:

Φ820×6mm的跨度L为35m,单位长度重量Q为206kg/m;Da150管道跨度L为9.4m,单位长度管重q为74.5kg/m(按充水重量计)。

蒸汽管在气体管一跨中的支承数为:

-1=2.7,取3支

按强度计算

按挠度计算:

随便看

 

离鸟网收录3541549条中英文词条,其功能与新华字典、现代汉语词典、牛津高阶英汉词典等各类中英文词典类似,基本涵盖了全部常用中英文字词句的读音、释义及用法,是语言学习和写作的有利工具。

 

Copyright © 2004-2024 vtrois.com All Rights Reserved
更新时间:2026/5/25 16:33:27