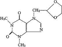
多索茶碱
C11H14N4O4=266.26 CAS-69975-86-6 7-(1,3-二氧环戊-2-基甲基)-3,7-二氢-1,3-二甲基-1H-嘌呤-2,6-二酮。 7-(1,3-Dioxolan-2-ylmethyl)-3,7-dihydro-1,3-dimethyl-1H-purine-2,6-dione. 7-(1,3-二氧戊环-2-基甲基)茶碱。 7-(1,3-Dioxolan-2-ylmethyl)theophylline. 镇咳药,支气管扩张药。 多索菲林。 Doxofylline,ABC 12/3,Ansimar,Maxivent. INN,USAN.  |