多重指数平滑法
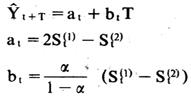
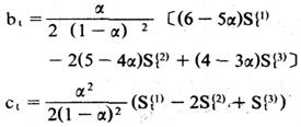
在上一次计算的指数平滑平均数所组成的时间序列的基础上,按照选定的平滑常数,再一次加权平均,进行修匀处理,使时间序列呈现基本趋势的预测方法。 多重指数平滑法有二次指数平滑法、三次指数平滑法等多种方法。它们一般都不直接用以进行预测,而是用以求算平滑系数,建立线性或二次曲线模型,以修正指数平滑平均数的滞后偏差。三次以上的多重指数平滑法实际上很少应用。 (1)二次指数平滑法。 以一次指数平滑法计算得到的数据所形成的新的时间数列,再求一次指数平滑平均数的方法。为便于识别,一次指数平滑平均数写为 ,二次指数平滑平均数写为 ,其计算公式为: 根据时间序列的线性趋势,可利用二次指数平滑平均数,计算平滑系数qt和bt,以建立线性预测方程,并根据第t时间的数据,对第T时间进行预测。 计算公式如下:  (2)三次指数平滑法。将二次指数平滑平均数所组成的时间数列,再一次按递减的权数,进行加权平均计算的方法。三次指数平滑平均数写为 ,其计算公式为:  利用三次指数平滑平均数,可计算平滑系数以建立二次曲线方程,进行趋势预测。 其预测模型为:  式中的t代表目前作为预测的起点第t时间,T代表由第t时间到需要预测的时间之间的时间个数。平滑系数的计算公式如下  
|