多项分布
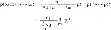
指二项分布的推广。 它涉及k个(k>2)可能结果的重复试验。如血型试验中可能有四种不同结果,产品可能分为一、二、三、四、五等,设这些结果的概率分别为p1,p2,……,pk,则:  假定作n次试验,令x1是第i个结果出现的次数,则随机变量x1,x2,…,xk概率分布为:  x1≥0,且 。 由于它是多项式(p1+p2+…+pk)n的展开式的一般项而得名。 上式中列出的x1有k-1个是独立的,当x1,x2,……,xk-1决定后xk完全由 所确定 式中: xk=n-x1-x2-……-xk-1 多项分布是参数为n,p1,p2,…,pk-1的分布,pk=1-p1-p2-…-pk-1。 二项分布中的许多结果都能平行地推广到多项分布。 |