多项式与多项式相乘法则
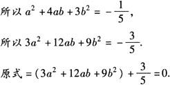
多项式与多项式相乘,先用一个多项式的每一项乘另一个多项式的每一项,再把所得的积相加. 注意 1.多项式与多项式相乘时防止漏项. 2.多项式乘以多项式,其积在没有合并同类项前的项数应是这两个多项式项数的乘积. 3.多项式乘以多项式,结果仍是多项式. 4.最后的结果应合并所有的同类项. 例1 若(x-3)(x-n)=x2+mx-15,则m的值为( ). A.-8 B.2 C.-2 D.-5 答 B. [解析] (x-3)(x-n)=x2-nx-3x+3n=x2-(n+3)x+3n=x2+mx-15. 根据对应项系数相等  例2 若a+b=-1/5,a+3b=1,则3a2+12ab+9b2+3/5的值是( ).  答 D. [解析] 已知两等式相乘为(a+b)(a+3b)=-1/5.  |