网站首页  词典首页


请输入您要查询的字词:

 

字词 多项式插值法
类别 中英文字词句释义及详细解析
释义 多项式插值法

已知函数f(x)在n+1个不同点Xn,x1,…xn上的函数值为f(xi)=yi,i=0,1,…n。

要求一个次数不超过n的多项式Pn(x),使满足:

Pn(xi)=f(xi),i=0,1,…n。 (1)

这就是n次代数插值问题。

条件(1)称为插值条件,x0,x1…xn称为插值节点。Pn(x)称为f(x)的n次插值多项式。

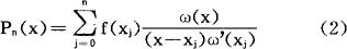
满足(1)的插值多项式可表为:

其中ω(x)=(x-x0)(x-x1)…(x-xn),ω’(xj)表ω(x)在Xi点的导数。(2)通常称为拉格朗日形插值多项式。

(2)也可用下述牛顿形插值多项式给出:

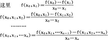
Pn(x)=f(x0)+f(x0,X1)(x-x0)+f(x0,x1,x2)(x-x0)(x-x1)+…+f(x0,X1,…xn)(x-x0)(x-x1)…(x-xn-1) (3)

f(x0,x1,…xk)称为f(x)在点x0,x1,…xk上的k阶差商。

(3)中的节点常取作等距的,且按节点离开插值点x的远近来排列先后次序。

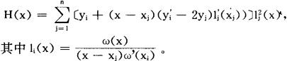
若f(x)在xi点的导数值f’(xi)=y’i也为已知,则存在唯一的2n+1次多项式H(x),它满足条件:

H(xi)=yi,H’(xi)=y’i i=0,1,…n (4)

H(x)称为f(x)的厄米特插值多项式,可表为:

随便看

 

离鸟网收录3541549条中英文词条,其功能与新华字典、现代汉语词典、牛津高阶英汉词典等各类中英文词典类似,基本涵盖了全部常用中英文字词句的读音、释义及用法,是语言学习和写作的有利工具。

 

Copyright © 2004-2024 vtrois.com All Rights Reserved
更新时间:2026/4/7 0:39:17