网站首页  词典首页


请输入您要查询的字词:

 

字词 大丁草
类别 中英文字词句释义及详细解析
释义 大丁草

【概况】:

异名 豹子药、苦马菜、米汤菜(《贵州民间药物》),踏地香(《贵州省中医验方秘方》),龙根草、翻白叶(《贵州草药》)。

加苏(苗族名),铺地白(土家族名),雅白菜、骂巴成(侗族名),蒲脚莲(瑶族名)。

基源 为菊科大丁草属植物大丁草的全草。大丁草属全世界约5种,中国约3种。

原植物 大丁草 Leibnitzia anandria(L.)Nakai〔Gerbera anandria(L.)Sch.-Bip.〕,又名拔毒草(土家族名)。

形态 多年生草本。根状茎短,有多数须根,具辛辣味。植株二型,春型矮小,高5~10cm,秋型高可达30cm。叶基生,莲座状,有长柄,叶片宽卵形,倒披针形或长椭圆形,长2~15cm,宽1.5~5cm,提琴状羽状分裂,顶端裂片宽卵形,有不规则圆齿,齿端有凸尖头,基部心形,背面及叶柄密生白色绵毛。

花茎直立,密生白色蛛丝状绵毛。苞片线形;头状花序单生,直径约2cm;春型具舌状花或管状花;秋型仅具管状花;总苞筒状钟形,总苞片约3层,外层较短,线形,内层线状披针形;舌状花雌性,管状花两性。

瘦果长约5mm,两端收缩;冠毛污白色。(图见《中国高等植物图鉴》.第4册669页.图6751)

生境与分布 生于山坡、路旁、田边或灌丛中。

中国大部分地区都有分布。朝鲜、日本也有分布。

。【生药】:

采集 夏、秋季采收,洗净,晒干。

贮藏 置通风干燥处,防霉。

【化学】:

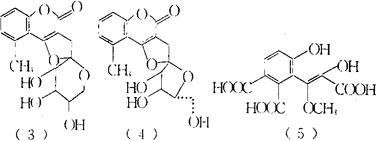
含香豆素类化合物:大丁甙元(4-Hydroxy-5-methyl-coumarin)、大丁甙(5-Methylcouarin-4-O-β-Dglucoside)、大丁纤维二糖甙(5-Methylcoum arin-4-Oβ-D-cellobioside)、大丁龙胆二糖甙(5-Methylcoumarin-4-O-β-D-gentiobioside、瑞香素(Daphnetin)大丁丁香豆素酸(3-Hydroxy-4-methoxyl-5-carboxycoumarin,Gerberocoumarinic acid),3,8-二羟基-4-甲氧基-5-羧酸香豆素(3,8-Dihydroxy-4-methoxyl-5-carboxycoumarin),3,8-二羟基-4-甲氧基香豆素,此外,还分得二个双香豆素3,3′-亚甲基双-〔4羟基-5-甲基香豆素〔3,3′-Methenehi-(4-hydroxy-5-methylcoumarin〕(1)[1]

5,8-二羟基-7-(4羟基-5-甲基香豆素-3-)香豆素〔5,8-Dihydroxy-7-(4-hydroxy-5-methylcoumarin-3-)coumarin〕(2)[2],和二个角型呋喃香豆素,大丁脱水糖甙a、b(3)(4)。

此外,还含有蒲公英赛醇(Taraxero1),蒲公英赛醇乙酸酯、β-谷甾醇、肌醇(Inosito1)和大丁草酸(Gerberic acid)(5)[1,2]

参考文献 [1]谷黎红博士论文.沈阳药学院,1988 [2]药学学报 1989;24(10)∶744

。【药理】:

本品水煎剂(10~50%)、大丁甙和甙元(5×10-4-2×10-3)在体外对绿脓杆菌等有抑菌作用。

体内试验(小鼠ip),水煎剂或醇浸剂(5g/kg)、大丁甙(40-240mg/kg)对绿脓杆菌感染也有一定疗效;大丁甙抗绿脓杆菌的ED50为46.2mg/kg。大丁甙20~56mg/kg,ip能增加家兔及小鼠网状内皮系统的吞噬功能。

大丁甙给小鼠ip200~500mg/kg,3d内无死亡,给家兔iv20mg/kg,每天2次,7d后血液、肝肾功能未见异常[1,2]

参考文献 [1]沈阳药学院学报1981;12∶37 [2]中草药1984;14∶72

【药性】:

性味 苦,温。

❶ 《贵州民间药物》:“苦,温。”
❷ 《全国中草药汇编》:“苦,寒。”

功效 祛风利湿,解毒消肿,止咳,止血。

主治 肺热咳嗽,肠炎,痢疾,尿路感染,风湿性关节痛,乳腺炎,痈疖肿毒,外伤出血。

❶ 《贵州民间药物》:“治风湿麻木。”
❷ 《贵州草药》:“驱风除湿,止咳喘,解毒。”
❸ 《中药大辞典》:“祛风湿,解毒。治风湿麻木,咳喘,疔疮。”

用法用量 内服:煎汤,9~30g。

外用:捣敷。

。【临床应用】:

方选和验方 ❶ 《陕甘宁青中草药选》:“治尿路感染:大丁草30g,蒲公英15g,车前草10g。水煎服。”
❷ 《四川中药志》:“治湿热泻痢:大丁草15g,铁苋15g,三颗针15g。水煎服。


❸ 《四川中药志》:“治热淋及湿热下注,下肢关节红肿疼痛:大丁草30g,忍冬藤15g,海金沙15g,刺黄柏12g。水煎服。”
❹ 《四川中药志》:“治肺热咳嗽:大丁草15g,兔耳风15g,桑白皮15g。水煎服。”

单方应用 ❶ 《全国中草药汇编》:“治外伤出血:大丁草研末,撒伤口。有一定的止血和消炎效果。”
❷ 《贵州草药》:“治风湿麻木:大丁草30g。泡酒服。”
❸ 《贵州草药》:“治咳喘:大丁草6g。煎水服,红糖作引。”
❹ 《贵州草药》:“治疗疮:大丁草根适量,捣绒敷患处。并治兽咬伤。”
❺ 《广西本草选编》:“治感冒发热,潮热,气管炎,小儿食滞,痢疾,小便混浊,淋沥不通:用大丁草全草6~15g,水煎服。”
❻ 《陕甘宁青中草药选》:“治淋巴结结核:大丁草30g,水煎服。”
❼ 《陕甘宁青中草药选》:“治风湿性关节炎:大丁草15g,水煎,酒调服。”
❽ 《中国民族药志》:“治慢性肠炎:大丁草、仙鹤草各15g。水煎服,日服2次,2天1疗程。”
❾ 《中国民族药志》:“治中耳炎:鲜大丁草捣烂取汁滴耳。”
❿ 《广西本草选编》:“治胃及十二指肠溃疡:大丁草研粉,每服1.5~3g。” ⑾《广西本草选编》:“治跌打肿痛,毒蛇咬伤,疖疮肿毒:鲜大丁草捣烂外敷。”

随便看

 

离鸟网收录3541549条中英文词条,其功能与新华字典、现代汉语词典、牛津高阶英汉词典等各类中英文词典类似,基本涵盖了全部常用中英文字词句的读音、释义及用法,是语言学习和写作的有利工具。

 

Copyright © 2004-2024 vtrois.com All Rights Reserved
更新时间:2026/4/8 7:40:57