网站首页  词典首页


请输入您要查询的字词:

 

字词 大叶桉叶
类别 中英文字词句释义及详细解析
释义 大叶桉叶

【名称出处】:《中国药用植物图鉴》

【概况】:

基源 为桃金娘科桉属植物桉的叶。

桉属全世界约600种;中国引种近80种,其中7种可供药用。

原植物 桉Eucalyptus robusta Smith(E.multiflora Poir.)

历史 原产澳大利亚,引入栽培不到一百年。

形态 乔木;树皮不剥落,暗褐色,有槽纹;小枝淡红色。幼叶对生,叶片厚革质、卵形,长约11cm,宽达7cm;成熟叶互生,厚革质,狭卵形或宽披针形,全缘,长8~18cm,宽3~7.5cm;侧脉多而明显,与中脉近成直角,两面均有腺点;有叶柄;伞形花序粗大,腋生或侧生,有花4~8朵;总花梗粗而扁,常有棱角;花直径1.5~2cm;萼筒管半球形或倒圆锥形,长7~9mm,宽6~8mm,下部渐狭成柄,萼帽状体厚,先端收缩成喙,和萼筒等长或稍长;雄蕊多数,分离。

蒴果倒卵形至壶形,长1~1.5cm,上半部微收缩,蒴口稍扩大,果瓣3~4,深藏于萼管内。花期8~11月,果期6~12月。

(图见《中国高等植物图鉴》.第2册.997页.图3724)

生境与分布 原产澳洲。中国以长江流域以南至华南、西南栽培为多,陕西南部也有栽种。

引种最北端为陕西汉中的阳平关。

【生药】:

栽培 宜温暖湿润环境,怕严霜。

以土层深厚、土质肥沃、疏松的砂质壤土为好。用种子繁殖,育苗移栽。

在3月下旬至4月上旬播种,撒播。播时,将种子与草木灰拌混后撒于苗床上,并覆盖细土一层,以不见种子为宜,稍加镇压后盖草浇水,保持土壤湿润。

出苗时揭去盖草,搭设荫棚,结合除草进行追肥1次。苗高0.7~1.0m时,即可分批移栽定植。可在春季或秋季进行种植,按行株距各1.7~2.0m开穴,每穴栽种1株。栽后每年需要培育管理1~2次,以利成林。

采集 秋季采收,阴干。

鉴别 叶镰刀状披针形,长8~30cm,宽2~7cm,叶端尖,叶基不对称,表面黄绿色,对光透视可见众多透明油点(油室)及红棕色木栓斑点;厚革质。气香,味稍苦,有清凉感。

贮藏 置阴凉干燥处。

。【化学】:

叶和顶生小枝平均出油率0.16%,挥发油中主含α-蒎烯、桉油精(C1-neole)、α-水芹烯(α-Phellandrene)、没食子酸(Gallic acid)[1]

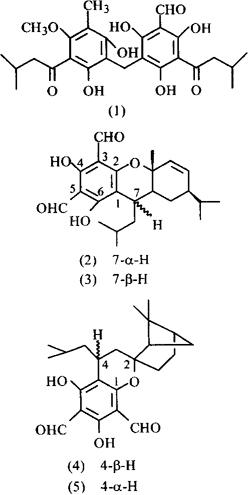
其酚性成分中有多种黄酮体、鞣花酸、龙胆酸、咖啡酸和绿原酸等。叶中含有大叶桉酚甲(Robustaol A)(1)[2,3]、两种酚醛化合物Euglobal Ia1(2)和Euglobal Ia2(3),还有大叶桉二醛A(Robustadial A)(4)、大叶桉二醛B(Robustadial B)(5)。

从叶中分得5-羟基-4’,7二甲氧基6.8-二甲氧基黄酮(Eucalyptin)、4’,5-二羟基-7-甲氧基-6,8-二甲基黄酮(Sideroxylin)、3β-羟基-乌索11-烯-28,13β-内酯、3β-乙酰氧基-乌索-11烯28,13β-内酯、3β,28-羟基-乌索12-烯(Uvaol)、β-谷甾醇、2甲基5,7-二羟基苯并吡喃酮-7β-葡萄糖甙、正卅烷醇和正卅烷酸及大叶桉酚乙(2-甲氧基-4,6-二羟基异丁酰基苯,Robustaol B)[4,6]

参考文献 [1] 中草药学.中册.江苏人民出版社,1976:705 [2] 化学学报 1981;39(1):83 [3] 药学通报 1984;19(9):42 [4] 化学学报 1986;44(2):151 [5] J Am Chem Soc 1984;106(3):734 [6] J Org Chem 1988;53(19):4562。

【药理】:

本品叶中所含桉油精,有解热、抗炎、抗菌、平喘和镇痛(如头痛)作用[1],大叶桉酚甲,对鼠疟原虫有抑制作用[2]

参考文献 [1] 中草药成分化学.科学出版社,1977:486 CA 1980:93:101488r [2] 化学学报 1981;39(1):83

【药性】:

性味 苦、辛,平。

功效 清热解毒。

主治 感冒,急性肠炎,痢疾,肾盂肾炎,丹毒,痈肿,烫伤,创伤感染,下肢溃疡,化脓性角膜炎,萎缩性鼻炎。

用法用量 内服:煎汤,6~9g(鲜品15~30g)。外用:煎水洗、搽或研末制成30%软膏外敷。

。【临床应用】:

方选和验方 ❶ 《全国中草药汇编》:“治感冒:鲜大叶桉叶2kg,桑叶1.5kg,煎2次。过滤,浓缩成流浸膏状,加入野菊花粉末500g,搅匀,干燥,磨粉,加白糖适量装袋,每袋装10g。每次1~2袋,每日1~2次,开水冲服。”
❷ 《全国中草药汇编》:“治肠道霉菌病:大叶桉叶、乌桕叶、鸭脚木叶、三叉苦叶各15~30g。水煎服,每日2次。

7天为1个疗程。”
❸ 江西《草药手册》:“治哮喘:大叶桉叶12g,白英3g,黄荆9g。水煎服。”

单方应用 ❶ 《岭南草药志》:“治感冒及流感:大叶桉叶约2500g,煎汤熏浴。”
❷ 治疟疾(福建):大叶桉叶5~7片,红糖少许,水煎,于发病前服。

❸ 《常用中草药手册》:“防治感冒、流感、流脑、脑炎:大叶桉叶6~9g(鲜品15~30g),水煎服。”
❹ 《常用中草药手册》:“治丹毒,蜂窝织炎,深部脓疡,创伤感染:大叶桉叶干品6~9g,鲜品15~30g,煎水内服。同时用15%~20%溶液,局部湿敷。


❺ 《广西中草药》:“治湿疹,烂疮:大叶桉叶,煎水,洗患处。”
❻ 《浙江民间常用草药》:“治菌痢,急性肠胃炎:大叶桉鲜叶15~30g,水煎服。”
❼ 《福建中草药》:“治荨麻疹:大叶桉鲜叶15~30g,水煎服。”
❽ 江西《草药手册》:“治丝虫病:大叶桉鲜叶90g切丝,加水3倍,煎3小时,去渣浓缩至60ml左右,1次服。小儿1~4岁服1/4,5~10岁服1/3,11~15岁服2/3。服药后个别有头晕腰酸。


❾ 江西《草药手册》:“治下肢溃疡:20%桉叶汤,先洗患处,再以桉叶粉末撒,包扎。”
❿ 《全国中草药汇编》:“治疖肿,皮肤溃疡:取大叶按叶1份,加水3份,煎至剩下1/6溶液时过滤,再浓缩至滴水成珠为度,以31加凡士林调匀,外敷患处。”

随便看

 

离鸟网收录3541549条中英文词条,其功能与新华字典、现代汉语词典、牛津高阶英汉词典等各类中英文词典类似,基本涵盖了全部常用中英文字词句的读音、释义及用法,是语言学习和写作的有利工具。

 

Copyright © 2004-2024 vtrois.com All Rights Reserved
更新时间:2026/5/25 19:39:47